Sorensen™ 모듈형 지능형 양방향 에너지 증폭(Mi-BEAM) 시리즈는 AMETEK Programmable Power의 고출력 테스트 솔루션 포트폴리오에 새롭게 추가된 제품입니다. 새로운 Mi-BEAM 시리즈는 12kW에서 37kW까지의 출력 전력과 함께 DC 소스 및 싱크 기능을 모두 제공합니다. Mi-BEAM 시리즈는 병렬 시스템을 통해 최대 1.2MW까지 확장이 가능합니다. 600V, 1,500V, 2,000VDC의 출력 전압 범위가 제공되며, 4U 랙 높이의 섀시 내에서 최대 150A의 출력을 지원합니다.
■ 주요 특징
˙ 완전한 솔루션 - 배터리 테스트, 시뮬레이션 및 태양광 배열 시뮬레이터 소프트웨어 포함
˙최고의 전력 밀도, 4U 랙 높이에서 최대 37 kW (9.25 kW/U)
˙가장 빠르고 깨끗한 전력 제공 (가장 빠른 과도 응답과 낮은 출력 리플 및 노이즈)
˙유니버설 3상 AC 입력: 180 VAC에서 528 VAC까지 지원
˙최고의 제조업체 기반 신뢰성 보장: 5년 보증
˙병렬 시스템 전력 최대 1.2 MW
˙출력 전압 최대 2,000 V
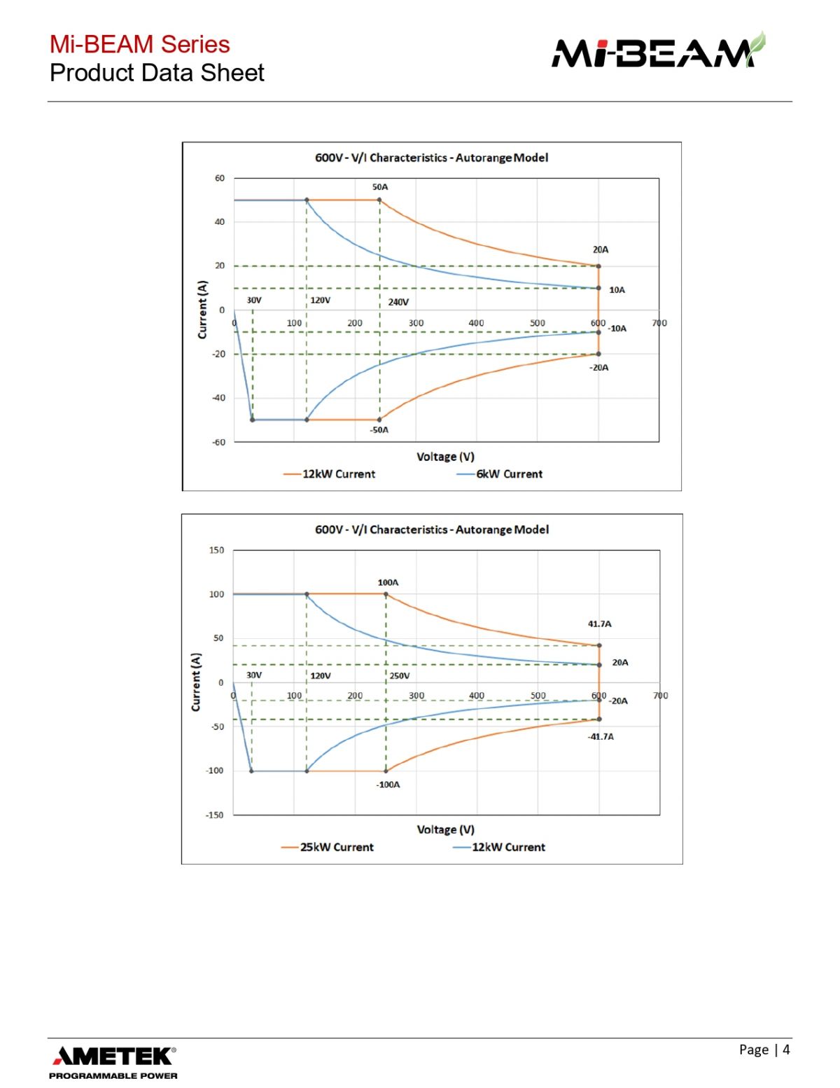
˙양방향 출력 전류 최대 ±150 A, 병렬로 최대 ±4,800 A
˙진정한 확장된 광범위 자동 범위 출력
˙컬러 터치 패널 사용자 인터페이스
˙소스와 싱크 간의 원활한 전환
˙내장된 섬 모드 감지
■ 전면 패널 터치스크린 및 디지털 또는 아날로그 제어 인터페이스를 통한 제어
The Mi-BEAM 시리즈는 직관적인 전면 패널 터치스크린을 통해 작동할 수 있어 사용자가 출력 프로그래밍 매개변수, 감독 및 설정 한계, 측정값 및 시스템 설정을 쉽게 설정, 제어 및 모니터링할 수 있습니다. 또한, 다양한 표준 통신 제어 인터페이스가 제공되며, LAN, USB 및 RS-232를 지원합니다. IEEE-488 및 EtherCAT 옵션도 제공됩니다.
■ 응용분야
Mi-BEAM 시리즈는 자동차, 에너지 저장, 산업 및 항공 우주 시장에서 오늘날의 복잡한 고전력 전자 제품을 테스트하기 위해 설계되었습니다. 이 플랫폼은 제품의 전체 생애 주기 동안 고급 연구 및 개발(R&D), 설계 검증, 생산 테스트 요구 사항을 모두 충족할 수 있습니다.